
技術知識
關于盤式電機定轉子鐵心成型的探究
盤式電機以其結構簡單緊湊,軸向尺寸短,節約原材料,下線方面,能實現自身制動等優點而日益得到電機制造業的重視。而盤式電機的制造生產,其中最關鍵便是盤式電機的定轉子鐵心的制造。如圖1所示,這種盤式電機的定轉子,不同于傳統電機的定轉子,前者的下線槽是軸向通槽,而后者由于下線槽是開在圓柱體的端部,呈徑向通槽。并且在同一臺盤式電機,內外徑尺寸相同,軸向尺寸不同的定子轉子,他們的下線槽是不同的,定子槽都為輻射狀直槽,轉子槽都為朝某個方向傾斜的斜直槽。另外,轉子的槽數通常又多于定子槽數。

圖1 定轉子機構簡圖
正是由于盤式電機本身定轉子的結構獨特性,帶來了定子和轉子同傳統電機定轉子成形上的區別,傳統電機定轉子是用硅鋼片先沖好槽,然后再一片片疊合。這種加工方法可見,而盤式電機定轉子成型是用沖好槽的硅鋼片帶料卷繞而成,并且在專用卷繞設備上自動成型,本文主要闡述基于定轉子本身的結構特點,在滿足定轉子成型工藝特點要求上,常見的幾種卷繞自動成型方法,及其相應各種補償機理,誤差修正措施。
1、定轉子鐵心成形工藝特點
1.1定轉子成型工藝要求
要把硅鋼片帶料,高質量,高效率卷繞成型成定轉子,必須在專用的卷繞設備上成形,圖2為國內常用的卷繞設備自動成型系統示意圖。首先定轉子坯料經校平后,由高速沖床沖好槽,沖好槽的帶料經送料機構或者由卷繞設備本身提供的動力送至卷繞設備,卷繞自動成形。沖床上沖槽必須保證,每隔一段距離沖出相同的形狀的槽,再經卷繞成形,要求卷繞好定轉子的外觀上槽孔要一一對齊。由于定轉子圓周上卷繞時,每卷繞一周,帶料到圓周中心的半徑是不斷的增大,那么每兩個相鄰的槽孔在不同的圓周卷繞層上的弧長是不斷增大的,所以,這個弧長我們稱之為相鄰槽距,它將隨著卷繞層數的不斷增加而增大,且滿足其相應的規律。這就是定轉子成型工藝的要求。

圖2 卷繞自動成型系統圖
1.2 相鄰槽距的變化規律
相鄰槽距,即沖床沖兩個槽之間的距離或送料機構所送料的帶料的長度,滿足隨卷料半徑的不斷增大而增大,由于所用經軋制過的硅鋼片的厚度是可以認為是等厚度的,那么定轉子每相鄰層的半徑變化值等于硅鋼片的厚度。若觀察成形好的定轉子的端部,各層之間所形成的曲線頗似阿基米德螺線,并且相鄰槽距的角度可以根據槽數Z來確定,即2π/Z(π為圓周率)那么在每迭加這樣的角度上卷料弧長便是槽距,根據西安交通大學趙升噸教授推導的公式可知 d=t÷(Z×Z)×2×π-------------d為槽距,t 為硅鋼帶料的厚度。
顯然d是常數,并隨著定轉子自動成型的過程的進行,沖床或送料結構所送料長度為等差數列值遞增。
2、定轉子自動成形及其補償方法
2.1 定轉子自動成形特點
高速沖床在沖每個相鄰的兩個槽距的時間為一個工作周期,在每一個工作周期內,沖床不但要保證沖出形狀和尺寸相同的槽,同時,兩槽之間的距離即槽距要符合一個為d的等差數列的遞增值。若沖槽中心與卷料輪中心之間的距離稱為沖裁距l,那么則在沖床每一個工作周期內,沖床沖好一個槽孔后,卷料輪在這段時間內迅速轉過2π/Z的角度,正好完成送料結構送入規定長度的坯料,這樣循環往復,直至完成對定轉子的成形。但是,由于受沖床和卷繞機構結構上的限制,沖槽中心和卷繞中心不可能完全重合,故這個沖卷距是大于零。
從圖2中可以看出,卷繞輪在卷料過程中,卷料半徑逐漸增大的,在沖床對已送進的坯料沖出孔數相等的前提下,l不為零時卷料輪所卷的坯料外徑比l為零時小,此時,l不為零時卷料輪轉過2π/Z角所產生的對沖床的送料長度比l為零時短,亦即l不為零時,卷料輪所轉2π/Z角所產生的送料長度比沖床此時所需的送料長度短。很顯然,定轉子成形的關鍵是如何給沖床送料長度成等差數列遞增的坯料。
2.2 成形方法
22.1 成形方法分類
定轉子成形的關鍵在于保證送料結構給沖床送入長度呈等差數列遞增數值的坯料。以便于在每一個工作周期中,沖床既能沖出形狀相同的槽,又能保證兩槽距成正確的理論值,這樣卷繞時就能使坯料的槽孔在圓周中所有同一個方向的槽孔就能一一對齊。但是,正是由于存在著沖卷距l的數值,使的卷料輪轉過2π/Z時所產生的送料長度比沖床此時所需的送料長度短,這時就需要一定的補償值,針對這種補償,通常有兩種方法,一種是角度補償,在卷料輪轉過2π/Z角后,再附加轉過一定的角度,以保證卷料輪此時轉過的角度后帶動坯料送料長度能滿足沖床同一時刻上的送料長度要求。另外一種補償方法便是長度補償,即在卷料輪轉過2π/Z角度后,能在沖槽中心和卷繞中心之間的水平距離附加一段長度,使的卷料輪轉過2π/Z角度所帶動的帶料長度加上這一段長度成為總的送料長度,來滿足沖床在每一工作周期上送料長度要求。
2.2.2角度補償
不論是加工定子還是轉子鐵心。隨著卷料輪起始半徑r的增加,沖卷距l也隨著線性增加,這就要求卷料機構在作等角度間歇回轉外,還應附加一定轉角補償,使的沖卷距保持在恒定的長度下多出的長度由卷料輪附加的轉角來補償,從而使得沖卷距的數值恒定,即保證沖床中心和卷料中心在水平方向距離上恒定。針對此,福建農林大學機電工程研究所何聰惠教授做了深入的探討,提出了一整套成熟的理論方法,現將結論摘自如下:
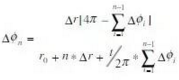
定子鐵心卷繞成形的步距補償值為:△L=4π×△R 其中 △L為卷鐵心轉過轉軸每轉過一個等角度2π/Z時沖卷距l的增長量,△R為卷鐵心每轉過一個等角度2π/Z時半徑的增量,且 △R=t÷Z,多出的△L長度轉化為卷料輪的轉角值。我們可以通過轉過第N個2π/Z角時,其補償角度值來反映,其大小為

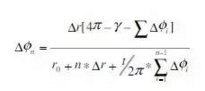
同樣,對于轉子鐵心的每轉2π/Z角度沖卷距l的增長量△L,由于轉子上存在著斜槽角度為γ,則△L=(4π-y)×R ,則硅鋼帶相對于沖槽中心要被多拉過△L距離,此值即為轉子鐵心卷繞加工的步距補償值。在采用轉角補償后,這部分長度轉為卷料輪的轉角可以通過轉子鐵心卷繞過第N個2π/Z角度時來反映,其數值大小為

從上可知,不論是定子鐵心還是轉子鐵心,在保證沖卷距不斷增大的前提下,要將沖卷距保持恒定值,需將多出的步距補償值轉化為轉角補償值,那么對在卷繞成形的自動化工程中,就需要對卷料輪有著特殊的要求。除定轉角2π/Z外,每一個沖床工作行程中,卷料輪都要附加一定的轉角補償值。這種轉角補償值的補償在實際的生產中,我們可以通過不同控制系統對步進電機或伺服電機的轉角控制來實現,先將幾種常見控制方法加以簡介。
2.2.2.1送料輪和步進電機構成的送料方式
這種機構的主要特征在于,在沖床和卷繞機構之間,專門設置一套送料機構,該送料機構的動力由步進電機提供,且送料輪的大小值是恒定的。而且位置保持不變。他和步進電機同軸。在這種送料方式上,送料輪的轉角補償值就由步進電機轉角提供,從而,保證沖卷距不變的情況,多出的步距值由送料輪的轉角補償,實現了所送出的送料長度呈一個等差數列遞增的數值長度,同時滿足了沖床和卷繞機構上鐵心成形特點要求。據于這種送料方式的送料機構的優點是結構簡單,工作可靠,所需的送料力和步進電機的扭矩不大,但對沖好孔的帶料還需專用卷繞設備才能完成對定轉子的成形。
2.2.2.2卷料輪和步進電機構成送料方式
這種送料方式機構的主要特征在于:卷料輪本身既完成卷料成型,同時又能自動補償轉角數值,卷料輪的動力直接由步進電機提供,隨著卷料輪卷料的層數的增加,其半徑大小也是不斷的增大,其卷料輪的中心位置會隨著卷繞的進行在垂直方向上不斷向下移動。這時,對卷料輪本身的轉角要求十分嚴格,卷料輪在完成每個2π/Z角度后,同時又要附加一定的轉角補償值,其數值大小由步進電機控制提供。據于這種自動成形方式的成形機構中,由于送料方式所需步進電機的扭矩就比前一種機構的大,并且由于卷繞疊合過程中,要求卷繞機構的剛度要大,那么該卷繞機構結構十分復雜。但是,正是沖床沖裁帶料和卷繞是同步進行的,其生產效率高,并且可以實現生產在線誤差修正,成形后的鐵心成形質量相當高。
2.2.2.3卷料輪和伺服電機構成的送料方式
這種送料方式機構的主要特征在于:卷料輪的轉角和補償值直接由直交流電機加伺服機構提供,由于使用伺服電機,其傳動精度比較高,另外還可以使用高效能的交流永磁直流伺服電機直接驅動伺服裝置,從而省掉中間傳動機構,把直流電機和卷料輪做成一體化,可以使伺服傳動達到更高的精度。其伺服裝置可以直接由微機控制,前面的兩種方法大多采用是單片機控制步進電機驅動器達到步進電機轉動,但由于考慮到單片機都存在著不便顯示,通訊。尤其不通用化和組成集散化控制。而采用微機作為數據處理核心,就可以較方便地應用在不同品種,不同生產規模的定轉子鐵心,以及要求在線監控的場合,有利于產品的系統化和系統功能的擴展。這些具體的功能,可以通過軟件具體實現,并且可以形象地仿真演示,實現在線誤差補償修正等。
2.2.3長度補償
在定轉子的卷繞自動成形中,隨著卷料輪的半徑的不斷增大,沖床所要求的送料長度是不斷地變大,即沖卷距呈等差數列不斷地遞增,如將這種遞增的數值不通過轉角補償,而是直接將沖槽中心和卷繞中心之間的距離水平拉大,從而達到補償的效果,那么稱為長度補償。即卷料輪在轉過2π/Z角度后,硅鋼帶料直接水平送出一段補償值,從而達到所需要的送料長度,即符合沖卷距的遞增規律。 對于定子鐵心來說,其步距補償值為△L=4π×△R,而轉子鐵心的步距補償值為△L=(4π-γ)×△R,這些具體的數值,就是卷料輪在每轉過2π/Z角度后,應水平距離增大△L數值,從而保證送料長度。具體生產過程中,這種水平距離的增大是通過純機械方式來實現。這種機械機構構成的送料方式有兩種,下面分別加于簡介。
2.2.3.1卷料輪水平移動和轉動組成的送料方式
這種送料方式的結構區別于轉角補償中的送料方式機構在于:它的動力不是由步進電機或伺服電機提供,而是由沖床本身電機動力來提供。這種送料方式的基本原理是:將沖床的運動和力,通過機械機構的方式傳遞到卷料輪上,在卷料輪轉動完成的送料過程中,卷料輪轉動的角度是恒定的,即2π/Z,顯然這個角度所帶動的弧長比實際沖床沖兩個槽所需要的距離來的短,為了補償這個數值,讓卷料輪的中心向遠離沖床中心方向水平移動一段距離,從而達到補償。這種送料長度l(即沖卷距l的等差數列遞增的數值由卷料輪的水平移動和角度轉動共同來完成實現),這種送料方式中卷料輪的平動和轉動由沖床分出的運動結構來實現。
3、誤差補償和修正
在具體的定轉子的自動成形生產過程中,必須考慮到硅鋼帶料的厚度對卷繞成形所產生的影響。由于帶料通常是經軋制過的硅鋼帶料,由于軋制工藝和開盤工藝的上的不足,導致硅剛片的厚度是不均的,而帶料的厚度不均就使得在卷繞過程中,卷繞輪每卷繞一周,卷繞輪所增加的半徑值是不同的,即卷繞輪每卷繞相同的角度時,所卷繞的硅鋼帶料的弧長是不同的,這就使的在沖床的每一個工作行程中,所給予的送料長度是不同的,這就給定轉子卷繞成形后的質量帶來影響。在一文中,指出定轉子取料,轉軸斜移補償法是減少由厚度引起加工誤差的最佳方法。但是,實際生產中,僅考慮硅鋼片的厚度不均是不全面的,實際生產中工作條件是千差萬變的,任何工作過程中微小變動,都會給卷繞成形帶來極大的影響。如:卷繞機構剛度不足,帶料由于是單邊裁剪,帶料的受力有單邊性,在卷繞過程中層與層之間存在著間隙,等等都會給最終的成形帶來很大的影響。為了消除或減少這些影響,在實際生產中,必須給定一定的誤差補償和修正,常有兩種補償方法,一種是在線補償,根據每沖出的槽距與理論值之間的偏差和卷繞層本身厚度或間隙導致槽孔對齊情況實時在線給予補償,這種補償用步進電機附加的正轉角或負轉角來補償。另外一種補償方法就是事先給予隨機補償。這種補償只基于帶料的厚度不均不可能是隨機誤差的基礎上來補償,從而來減少由于帶料的厚度不均帶來的成形質量的影響。
4、存在問題
在實際生產中,正是由于沖裁工藝,卷繞工藝的種種不足,以及定轉子鐵心本身的機構的獨特性,硅鋼片的厚度極薄0.5~1.0mm,因而,在圓周自動成形上或多或少都存在著如下問題。
4.1 外觀呈“喇叭口”張開狀
由于帶料的沖槽呈單邊性,卷繞變形也成單邊性,那么在在一個定轉子卷繞成形完畢后,下線槽是布置在單邊的,點焊只能在實部,而不能在定轉子的軛部,因而點焊后的鐵心的受力也成單邊性,那么在被卷繞成形已經存在內應力的情況下,被外在的單邊力的作用下,定轉子鐵心成形后,對齊槽孔兩邊的硅鋼片呈張開喇叭口狀。
4.2 “壓緊不實”的現象
在卷繞成形過程中,由于定轉子鐵心尺寸品種多,其不同尺寸品種鐵心的槽孔未必都是通孔,其中有通孔,半通孔,盲孔等。基于其尺寸的獨特性,另外在卷繞成形的過程中,層與層之間存在間隙是不可避免的。所以在卷繞機構的剛度不足的情況下,特別是對于大尺寸的定轉子鐵心在卷繞成形中,往往出現壓緊不實的現象。
4.3 在線誤差補償難
在卷繞成形過程中,實現在線誤差控制并實現在線誤差補償及修正,由于受到卷繞機構可供安裝檢測的裝置的空間較小,又受到定轉子鐵心本身的尺寸限制,在卷繞成形的槽孔對齊上,以及帶料本身厚度的檢測上比較難,故一定程度上的在線誤差補償和修正十分困難,這也給定轉子鐵心成形質量帶來了影響。
4.4 設備加工能力范圍有限
由于盤式電機的定轉子鐵心的品種很多,不同品種鐵心的內外徑尺寸變化較大,而在實際生產中,每臺卷繞專機,在保證卷繞成形的工藝要求下,所能卷繞的定轉子鐵心的尺寸范圍比較小,那么也就是說,定轉子鐵心的卷繞成形加工的能力受到卷料輪的輪轂直徑的限制。所以專用卷繞設備大面積,高效率推廣比較難。
正是居于以上種種在實際生產中存在的問題,雖然目前國內注冊專利的各種專用卷繞機有好幾個廠家和研究機構,但是,至今國內市場上還沒有一臺能按照上述自動成形方法制成的,能高效率滿足生產的設備。都是從國外進口,且成本相當高!
標簽:   電機 盤式電機 伺服電機 步進電機

