
新聞動態
東莞電機實驗異步電動機的短路
東莞電機短路試驗的目的是測定短路阻抗ZKσ、轉子電阻R2σ和定、轉子漏電抗X1σ、X2σ。短路試驗是在轉子堵轉,即s=1的情況下進行的。調節電源電壓,使施加于定子的電壓盡可能從0.9~1.1U1N逐漸減小到0.25U1N。若加額定電壓,短路電流將達到4~7I1N。當電流超過額定值時,試驗應該盡快在短時間內完成,以免繞組過熱燒壞。如果限于設備,短路試驗可從3倍額定電流開始,逐步降到額定電流。
東莞電機根據短路試驗數據測出的定子相電壓UK、相電流IK和輸入總功率PK隨UK而變化的關系,畫出電動機的短路特性曲線,如圖1所示。并可進一步求得異步電動機短路阻抗Zk、短路電阻Rk和短路電抗XK為:

圖1異步電動機短路試驗曲線
東莞電機重要提醒,定、轉子漏電抗X1σ和X2σ并非常值,其數值是隨著漏磁路中鐵磁部分的飽和程度的改變而變化的。電機在額定負載范圍內運行時,X1σ和X2σ。基本為一常數,但在額定電壓直接起動異步電動機時,起動電流將達到4.7In,由于定、轉子電流比額定電流大得多,使漏磁路中的鐵磁部分發生飽和,引起總的漏磁路磁阻變大,則X1σ和X2σ變小。因此,為了滿足計算電動機不同的運行數據,應當選取不同的短路電流值,進行短路試驗,求取不同的短路參數。如計算電動機工作特性時應選用短期電流Ik≈I1N時的參數;計算最大轉矩采用Ik≈2~3I1N時的參數;計算起動參數時,采用外施電壓為U1N時的短路電流的參數。
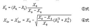
為簡化計算,假設 ,由于Rm<<Xm,可忽略Rm,從而可根據T型等效電路經過簡化后求得:

式中定子電阻R1可用電橋測出,X0為空載試驗求出的電抗。
對大、中型異步電動機,由于Xm很大,勵磁支路可近似認為是斷開的,則:

標簽:  異步電動機 東莞電機

